報名清單
尚無資料
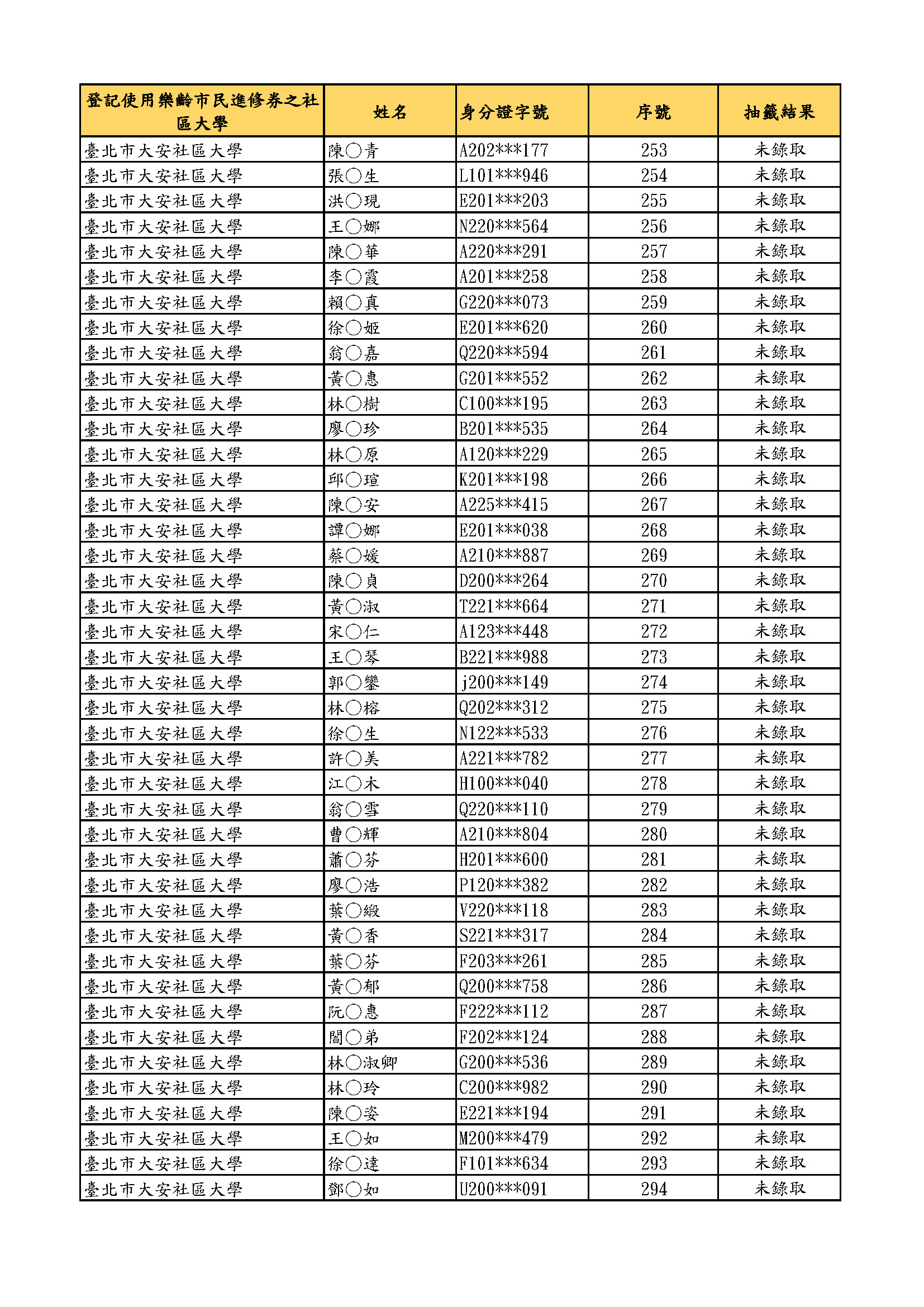
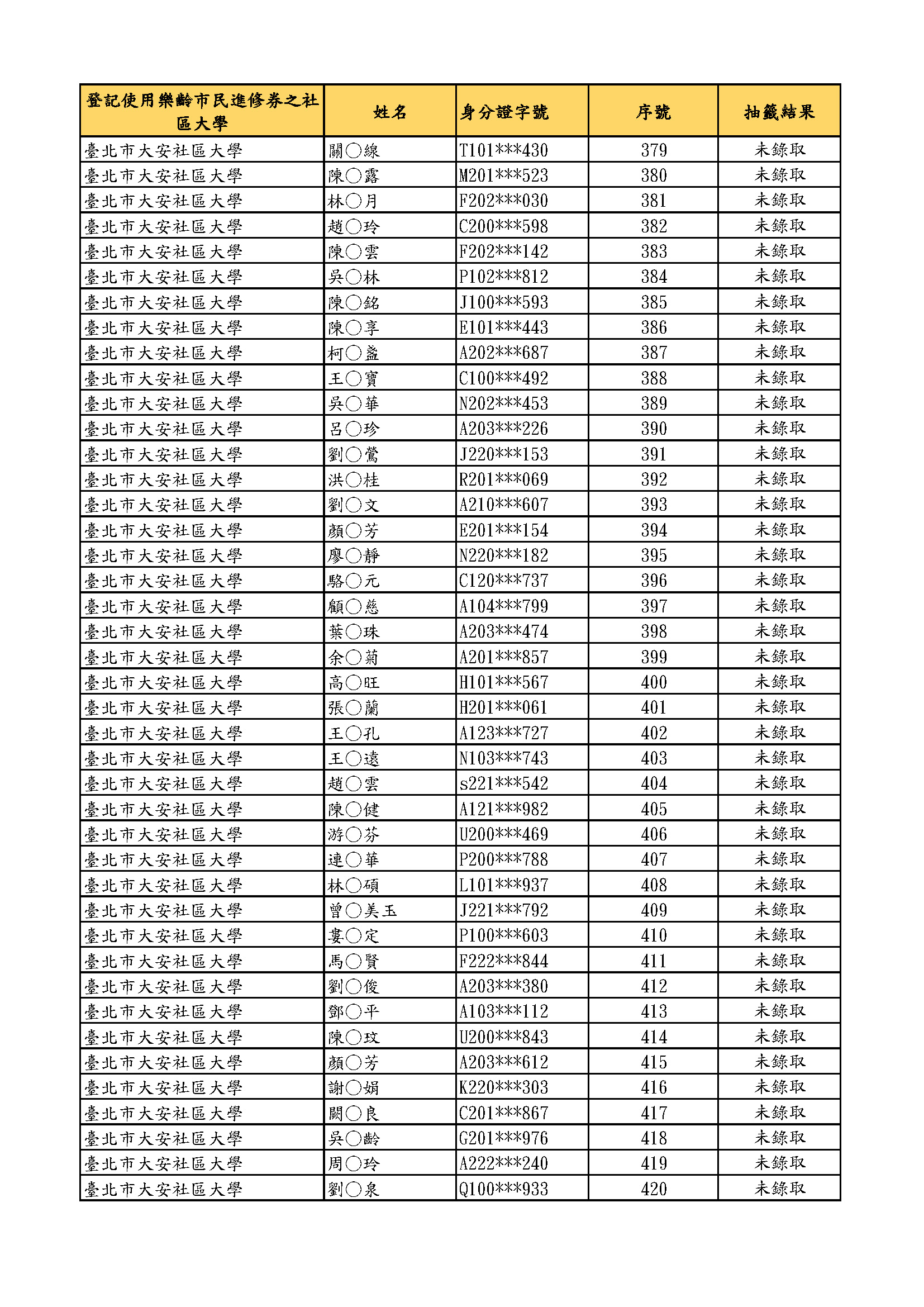
樂齡市民進修券,抽籤結果公布囉!
臺北市政府教育局「113年度樂齡市民進修券」之12所社區大學抽籤結果如附件,使用方式及期限如下:
使用方式:獲補助資格之長者,可至本市各社區大學報名113年暑假班或秋季班課程,並出示身分證件,資料符合者得依樂齡市民進修券面額減免學分費用,獲補助資格之市民如申請退課,視同放棄補助資格,不退券亦不提供補助退費。
使用期限:本券正取者之使用截止日為113年8月26日(星期一);備取者使用期間為113年8月27日(星期二)至113年9月14日(星期六)止,備取者由各社區大學依備取順序通知使用本券。
完整名單請參考教育局公告:https://reurl.cc/Vzq0aN










